
Using ALCF supercomputers to study the carbon-12 nucleus at an unprecedented level of detail, researchers are uncovering results that will help improve the understanding of subatomic particles.
With an Early Science Program (ESP) project at the Argonne Leadership Computing Facility (ALCF), researchers from Argonne, Los Alamos, and Jefferson national laboratories used Mira, the ALCF’s 10-petaflops IBM Blue Gene/Q supercomputer, to make reliable fundamental calculations of neutrino and electron reactions with carbon-12 nuclei.
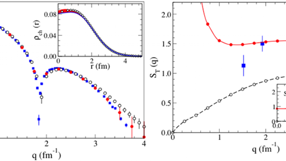
Led by Argonne senior physicist Steven Pieper, the research team performed the most detailed simulations of the structure of the carbon nucleus to date, with their calculations of carbon-12’s charge form factor and sum rules of the electromagnetic response function.
The findings, which were published in Physical Review Letters in August 2013, will be used to predict the results of a recent electron scattering experiment at Jefferson Lab in Virginia. Additionally, their computations of neutral-current response sum rules can be used to enable more reliable neutrino detector calibrations, improve supernova explosion simulations, and explain experimental results inconsistent with previous theory such as the neutrino interactions with carbon-12.
“These calculations are needed on a timely basis for the analysis of ongoing experiments,” said Pieper. “The quasi-elastic electron scattering project at Jefferson Lab is nearing publication, and current neutrino experiments like MiniBooNE at Fermilab are sensitive to the weak quasi-elastic response of nuclei.”
The ALCF simulations were the first to consider interactions of the electromagnetic and weak currents with pairs of nucleons, as previous calculations had only considered interactions with individual nucleons. The team was able to determine that these pair interactions are very important to the nucleus’s response.
The ESP period provided pre-production time on Mira to 16 projects to allow researchers to pursue real scientific problems while preparing their codes for the architecture and scale of the ALCF’s new supercomputer. Pieper’s team used their ESP allocation to tune the Green’s Function Monte Carlo (GFMC) code to leverage Mira’s unique capabilities for their carbon-12 simulations. Developed at Argonne over the past 15 years, GFMC allows for consistent treatment of realistic models of electromagnetic current and nuclear interactions.
Both the direct calculation of neutrino scattering to the low-lying excited states of carbon-12 and the evaluation of the sum rules and response would not have been possible on Mira’s predecessor, Intrepid, due to the limited amount of RAM (2 GB per node).
“With 16 GB of RAM per node, Mira finally made it feasible to tackle such memory-intensive calculations,” said ALCF ESP postdoc Alessandro Lovato.
The ESP work, which is now continuing under a 2014 INCITE award, set the stage for Euclidean response function calculations that will enable a more direct comparison with experimental data.
“Ultimately, our simulations at the ALCF will help us to better understand the propagation of charge and current in the nucleus and to vastly improve the simple models used for neutrino scattering by nuclei in current neutrino experiments,” said Pieper.