Advances in Quark and Lepton Flavor Physics with Lattice QCD

PI Andreas Kronfeld, Fermi National Accelerator Laboratory
Co-PI Thomas Blum, University of Connecticut
Peter Blum, Brookhaven National Laboratory
Norman Christ, Columbia University
Carleton DeTar, University of Utah
Aida El-Khadra, University of Illinois Urbana-Champaign
Steven Gottlieb, Indiana University
William Jay, Massachusetts Institute of Technology
Luchang Jin, University of Connecticut
Chulwoo Jung, Brookhaven National Laboratory
Christoph Lehner, University of Regensburg
Andrew Lytle, University of Illinois Urbana Champaign
Robert Mawhinney, Columbia University
Ruth Van de Water, Fermi National Accelerator Laboratory
Kronfeld INCITE 2025

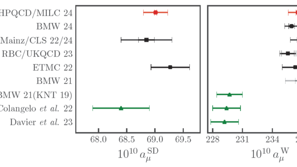
Comparison of two benchmark quantities related to the hadronic contributions to the anomalous magnetic moment of the muon. Left: the short-distance window of the hadronic vacuum polarization (HVP), covering distances between 0 and 0.4 femtometer. Right: the intermediate distance window of the HVP, covering distances between 0.4 and 1.0 femtometer.  Two of the results (Fermilab/HPQCD/MILC and RBC/UKQCD) are supported by this multi-year INCITE project, with ongoing work for distances greater than 1.0 femtometer.  Image: Fermilab Lattice, HPQCD, and MILC Collaborations

Project Description

This project, aiming to address fundamental questions in elementary particle physics, consists of three related themes: (1) the hadronic vacuum polarization contribution to the anomalous magnetic moment of the muon (“muon g − 2”); (2) semileptonic decays of B and D mesons (“heavy quark”); and (3) violation of charge conjugation parity symmetry in the kaon system (“CP violation”). 

The calculations performed in this work directly support extensive ongoing experimental efforts. The project uses numerical simulations constructed from the lattice gauge theory formulation of quantum chromodynamics. In some cases, the calculations also incorporate corrections from electromagnetism and the small difference in the up- and down-quark masses, because the precision of corresponding experiments requires these effects. The calculations are well aligned with the U.S. strategic plan for particle physics.

Project Type
Domains
Allocations