Hadronic Contributions to the Muon G-2 from Lattice QCD

PI Thomas Blum , University of Connecticut
Co-PI Alexei Bazavov, Michigan State University
Peter Boyle, Brookhaven National Laboratory
Carleton DeTar, University of Utah)
Aida El-Khadra, University of Illinois Urbana-Champaign
Steven Gottlieb, Indiana University
Taku Izubuchi, Brookhaven National Laboratory
Luchang Jin, University of Connecticut
Ethan Neil, University of Colorado
Ruth Van de Water, Fermilab
Blum ALCC Graphic

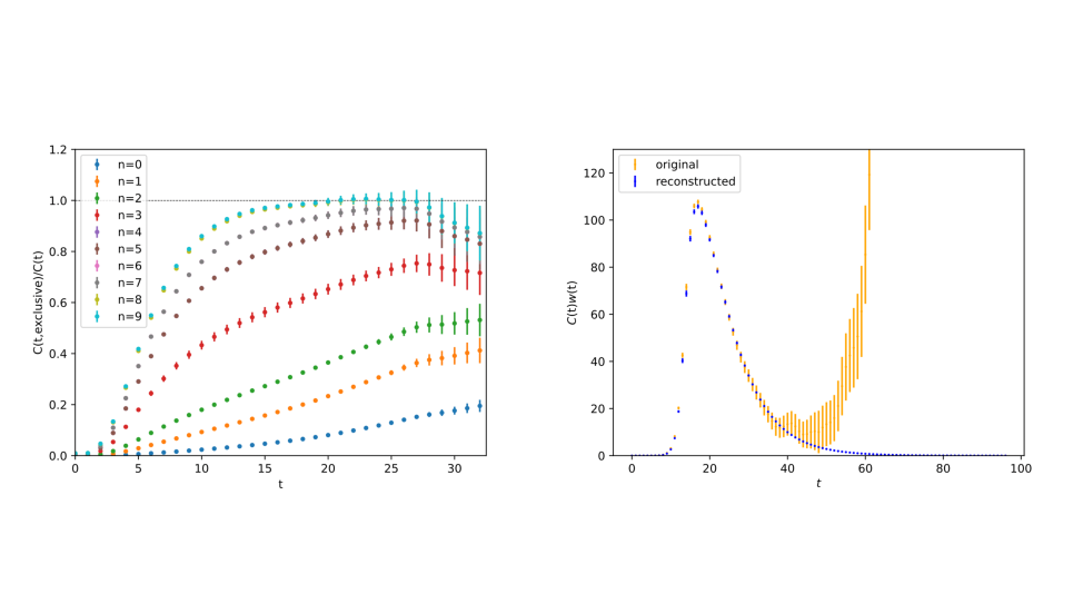
Left panel: Distillation, GEVP-based, exclusive-state reconstructed correlator compared to the inclusive (vector-vector) correlator. Right: the long-distance part of the summand of Eq. 2.5 for both cases. Results are for the MDWF 963 , 2.7 GeV ensemble.

Project Summary

To resolve the difference between lattice and data-driven theory values, the project aims to compute the hadronic contributions at the sub-percent level, and ultimately to reach the expected precision of the experiment, at the one-to-two-permille level.

Project Description

The muon is an elementary particle identical to the ordinary electron except that it is about 200 times heavier. Its magnetic dipole moment is being measured at Fermilab and calculated by theorists world-wide to fantastic accuracy in a high-stakes test of the Standard Model (SM) of Particle Physics. To test the SM to a degree that allows discovery of physics beyond our current understanding of Nature’s laws, the theory errors on the contributions to the magnetic moment from the cloud of virtual quarks, anti-quarks, and gluons surrounding the muon during its brief lifetime must be reduced. These so-called hadronic contributions will be determined with improved precision in numerical simulations of Quantum Chromodynamics (QCD) known as lattice QCD. 

The theoretical calculation and measurement of the magnetic moment of the muon comprise one of the highest priorities of the DOE’s Office of High Energy Physics. Lattice QCD calculations from many groups, using different formulations and methods, agree with each other but differ with longer-standing data-driven calculations, which calls into question the latter’s disagreement with the SM. To resolve the difference between lattice and data-driven theory values, the project aims to compute the hadronic contributions at the sub-percent level, and ultimately to reach the expected precision of the experiment, at the one-to-two-permille level.

Domains
Allocations