
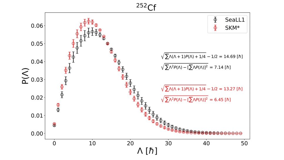
The first ever evaluation of the FF orbital angular momentum in the spontaneous fission of 252Cf (to be submitted soon for publication to either Nature or Phys. Rev. Lett.).
This INCITE project is using the full quantum mechanical predictive tools needed to quantitatively describe nuclear fission, collisions of heavy ions, and fusion—including the total kinetic energy released, the properties and excitation energies of the fission fragments, their masses, charges, excitation energies, angular momenta, the spectra of emitted neutrons, the multinucleon, and the energy transfer in low and medium energy heavy-ion collisions.
Nuclear physics is poised to answer fundamental questions about nature, but these questions are complex and the answers require the latest developments in theory, high-performance computing, and new emerging compute elements and architectures.
Bulgac’s team is using the full quantum mechanical predictive tools needed to quantitatively describe nuclear fission, collisions of heavy ions, and fusion—including the total kinetic energy released, the properties and excitation energies of the fission fragments, their masses, charges, excitation energies, angular momenta, the spectra of emitted neutrons, the multinucleon, and the energy transfer in low and medium energy heavy-ion collisions.
The microscopic description of low-energy heavy-ion reactions, in particular the calculation of fusion cross-sections and of nucleon transfer cross-sections, has fundamental and practical importance. These reactions are relevant for the physics at the Facility for Rare Isotopes Beams and many other laboratories in US and across the world for further pursuing the quest for superheavy elements, for extending the periodic table of elements, and for explaining the origin and the abundance of chemical elements in the Universe.